3.3.15 Проверка прочности стенок сложно нагруженного толстостенного резервуара
- Информация о материале
- Родительская категория: Раздел 3 ТЕОРЕТИЧЕСКОЕ ОБОСНОВАНИЕ, ИССЛЕДОВАНИЕ СРЕДСТВ ДЛЯ УГЛУБЛЕННОГО ЭКСПЕРИМЕНТАЛЬНОГО ИЗУЧЕНИЯ СОПРОТИВЛЕНИЯ МАТЕРИАЛОВ ТЕНЗОМЕТРИЧЕСКИМ МЕТОДОМ В УЧЕБНОМ ПРОЦЕССЕ В КОНТЕКСТЕКОМПЕТЕНТНОСТНОГО ПОДХОДА В ОБУЧЕНИИ
- Категория: 3.3 Исследование деформаций и напряжений в сложно нагруженных тонкостенных и толстостенных резервуарах тензометрическим методом
- Опубликовано: 01.11.2016 10:41
- Просмотров: 475
Во многих отраслях промышленности, в строительстве и сельском хозяйстве широко используются толстостенные резервуары для транспортирования и хранения жидких, газообразных продуктов под высоким внутренним давлением, а в нефте- и газодобывающей отрасли, в коммунальном хозяйстве - толстостенные трубы. Для обеспечения надежной работы этих объектов и безопасности обслуживающего персонала необходимо периодически оценивать их прочность в реальных условиях эксплуатации с применением соответствующих измерительных средств.
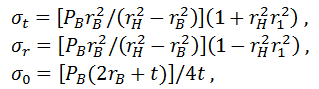
Рассмотрим толстостенный резервуар цилиндрической формы [81]. В общем случае его стенка может подвергаться воздействию крутящего и изгибающего моментов, помимо высокого внутреннего давления. При действии только внутреннего давления Рв на грани элементарного кубика, выделенного из стенки толстостенного резервуара, оказывают влияние окружное σt, радиальное σr и осевое σ0 напряжения, которые могут быть вычислены по известным из сопротивления материалов формулам, с учетом конкретных условий:

где rН,rB - соответственно наружный и внутренний радиусы резервуара; r1 - расстояние от оси симметрии до точки стенки, где определяют напряжения; t - толщина стенки резервуара.
В расчетах расстояние от оси симметрии до точки, в которой определяют радиальное напряжение, принимают равным среднему радиусу данного цилиндрического резервуара. Касательное напряжение τ, возникающее в результате действия крутящего момента, в рассматриваемой точке резервуара равно
τ = 40 F1l1D/(D4 - d4),
где F1 - действующая на рычаг внешняя сила; l1 - половина длины рычага установки; D,d - диаметры соответственно наружного и внутреннего цилиндров.
Нормальное напряжение σ в наружной точке стенки резервуара, находящейся на расстоянии 12 от линии действия внешней силы F2, вызывающей изгиб резервуара, определяется по формуле
σ = F2l2 /[0,1 (D4 -d4)/D].
Эквивалентные напряжения вычисляют по энергетической теории прочности и теории наибольших касательных напряжений.
Экспериментальная установка, подготовленная к опытам, показана на рисунке 3.90а, ее схема - на рисунке 3.90б.
Установка состоит из основания 1, резервуара 3, расположенного строго горизонтально и жестко соединенного со стойкой 2. Манометр 9 служит для измерения внутреннего давления, кран 8 - для герметизации резервуара после создания требуемого внутреннего давления Рв (с помощью воздуха накачиваемого компрессором в резервуар).

Рисунок 3.90 Экспериментальная установка (а) и ее схема (б)
К свободному концу цилиндрического резервуара может быть приложена пара сил F1 с плечом 2l1, которая создает в поперечном сечении объекта исследования крутящий момент. Сила F1 действует на стальной канат 5, закрепленный на кронштейне 1 и перекинутый через блоки 6. Последние вращаются на кронштейнах, жестко соединенных с двух плечных рычагом 4.
Приложенная на свободном конце резервуара сила F2 вызывает его изгиб.
На экспериментальной установке (см. рисунок 3.90а) диаметр наружного цилиндра составляет 200 мм, внутреннего - 180 мм, длина резервуара 800 мм, длина двухплечного рычага 1000 мм.
Для измерения в точке радиальной относительной деформации, возникающей под действием внутреннего давления, служит рабочий тензометрический датчик РД2. Для его размещения в стенке резервуара 1 сделано специальное отверстие диаметром 30 мм. На месте отверстия резервуаров приварена трубка 2 большего диаметра, чем отверстие высотой 60 мм. Ее свободный конец имеет резьбу для герметичного отверстия резервуара пробки.

Рисунок 3.90а Толстостенный сложно нагруженный резервуар, подготовленный для изучения напряжений
Стенки трубки в нижней части имеет технологическое отверстие диаметром 3 мм для выводов тензометрического датчика РД2. После проверки тензодатчика РД2 просверливать специальное отверстие не целесообразно. Из-за сравнительной незначительности радиального напряжения по сравнению с другими (окружное, осевое) рекомендуем его величину найти по теоретической формуле.
Чтобы измерить относительную упругую деформацию стенки резервуара, возникающую под действием осевой силы, вызванной внутренним давлением, а также изгибающего момента, на верхней части резервуара перпендикулярно образующей и предназначен для измерения относительной окружной деформации, возникающей под действием внутреннего давления.
Для определения в точке максимальной относительной деформации, вызванной крутящим моментом , возникающим под действием силы F1 на наружной поверхности резервуара под углом 45° к образующей наклеен тензометрический датчик РД4. Расположенный на недеформируемой части (на отдельной стальной пластинке) компенсационный (КД) и рабочий датчики образуют внешние полумосты, выводы которых подключаются к соответствующим каналам измерителя деформации ЦТИ-1. Тензометрические датчики имеют базу 15 мм, электрическое сопротивление 200 Ом.
При эксперименте использовался принцип независимости действия внешних нагрузок.
Значения окружного, радиального, осевого напряжений, вызванных внутренним давлением, и нормального напряжения, обусловленного изгибающим моментом, находятся как произведение экспериментально определенного удлинения и модуля продольной упругости материала стенки резервуара.
Касательные напряжения, возникающие под действием крутящего момента, находятся по закону Гука с учетом относительного сдвига и модуля сдвига материала резервуара.
При эксперименте показания измерителя для каждого рабочего датчика определяли до нагружения резервуара силовыми факторами и после. Разность показаний удваивали и умножали на 10-6.
В таблице представлены теоретические и экспериментальные значения напряжений в точке стенки резервуара, вызванные различным внутренним давлением.
Таблица 3.7 Теоретические и экспериментальные значения напряжений
| Рв, МПа | σt, МПа | σr, МПа | σ0, МПа |
| 1,0 | 8,99/8,00 | 0,47/0,40 | 4,75/4,80 |
| 1,5 | 13,49/12,00 | 0,71/0,80 | 7,13/9,60 |
| 2,0 | 17,98/16,00 | 0,94/1,20 | 9,50/11,20 |
| 2,5 | 22,48/24,00 | 1,18/1,60 | 11,88/12,80 |
Примечание. В числителе указано значение, полученное теоретически, в знаменателе - экспериментально.
Рассмотренный тензометрический метод практической оценки прочности нагруженных толстостенных резервуаров несложен, многократно повторяем и дает достоверный результат в условиях эксплуатации этих объектов.