3.3.21 Напряжения в тонкостенном резервуаре при продольном изгибе и одновременном действии внутреннего давления
- Информация о материале
- Родительская категория: Раздел 3 ТЕОРЕТИЧЕСКОЕ ОБОСНОВАНИЕ, ИССЛЕДОВАНИЕ СРЕДСТВ ДЛЯ УГЛУБЛЕННОГО ЭКСПЕРИМЕНТАЛЬНОГО ИЗУЧЕНИЯ СОПРОТИВЛЕНИЯ МАТЕРИАЛОВ ТЕНЗОМЕТРИЧЕСКИМ МЕТОДОМ В УЧЕБНОМ ПРОЦЕССЕ В КОНТЕКСТЕКОМПЕТЕНТНОСТНОГО ПОДХОДА В ОБУЧЕНИИ
- Категория: 3.3 Исследование деформаций и напряжений в сложно нагруженных тонкостенных и толстостенных резервуарах тензометрическим методом
- Опубликовано: 01.11.2016 09:18
- Просмотров: 376
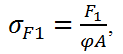
Напряжение σF1 в поперечном сечении резервуара, зависящее от сжимающей силы F1, определяется с учетом коэффициента φ уменьшения основного расчетного сопротивления при продольном изгибе по формуле

где А - площадь поперечного сечения тонкостенного резервуара.
Площадь А равна

где D и d - наружный и внутренний диаметры резервуара.
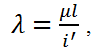
Коэффициент φ выражается в зависимости от гибкости резервуара по табличным данным. Гибкость, в свою очередь, находится по формуле

где μ - коэффициент приведения длины; l - длина сжатого стержня; i - радиус инерции сечения резервуара.
Для представленной конструкции сжатого стержня коэффициент приведения длины равен 2.
Радиус инерции i' кольцевого сечения вычисляется по формуле

где J - осевой момент инерции сечение резервуара при изгибе; А - площадь поперечного сечения.
Осевой момент инерции кольцевого сечения составит
J = 0,1(D4 – d4).
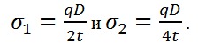
Напряжения σ1 и σ2, обусловленные действием давления на резервуар, определяются по известным формулам
![]()
Напряжения σ1 и σ2, зависящие от сжимающей силы и внутреннего давления, имеют разные знаки.
В тонкостенном резервуаре (рисунок 3.94) относительные деформации ɛ1 и ɛ2 в точке, вызванные действием внутреннего давления, измеряются тензометрическими датчиками РД1 и РД2 при условии, когда сила F1 равна нулю.
Определение значения относительной деформации ɛʹ2 в точке связанной с действием сжимающей силы F1 , производится по показаниям также тензометрического датчика РД2 при q = 0.
Напряжения σ1 , σ2 и σF1 вычисляются по закону Гука.