3.3.22 Напряжения в тонкостенном резервуаре при продольном изгибе, одновременном действии внутреннего давления и кручении
- Информация о материале
- Родительская категория: Раздел 3 ТЕОРЕТИЧЕСКОЕ ОБОСНОВАНИЕ, ИССЛЕДОВАНИЕ СРЕДСТВ ДЛЯ УГЛУБЛЕННОГО ЭКСПЕРИМЕНТАЛЬНОГО ИЗУЧЕНИЯ СОПРОТИВЛЕНИЯ МАТЕРИАЛОВ ТЕНЗОМЕТРИЧЕСКИМ МЕТОДОМ В УЧЕБНОМ ПРОЦЕССЕ В КОНТЕКСТЕКОМПЕТЕНТНОСТНОГО ПОДХОДА В ОБУЧЕНИИ
- Категория: 3.3 Исследование деформаций и напряжений в сложно нагруженных тонкостенных и толстостенных резервуарах тензометрическим методом
- Опубликовано: 27.10.2016 11:55
- Просмотров: 389
При продольном изгибе, одновременном действии внутреннего давления и скручивающего момента (рисунок 3.94) напряжения σF1 и σ1, σ2 обусловленные соответственно сжимающей силой и внутренним давлением в резервуаре, теоретически определены в работе 3.3.21.
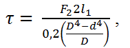
Касательные напряжения τ в точке от действия крутящего момента вычисляются по формуле

где 2l1 - плечо действия силы F2; D, d - наружный и внутренний диаметры резервуара.
В экспериментах деформация ɛʹ2 в точке стенки от действия сжимающей силы F1 фиксируется тензометрическим датчиком РД2 при условии, когда q = 0 и F2 = 0 .
Затем резервуар нагружается только силой F2, скручивающей цилиндр. Относительная деформация ɛ3 от крутящего момента измеряется тензометрическим датчиком РД3. Относительный сдвиг γ в точке равен удвоенному значению относительной деформации.
В дальнейшем резервуар нагружается единственным силовым фактором - внутренним давлением. При этом тензометрические датчики РД1 и РД2 определяют относительные деформации ɛ1, ɛ3 элемента стенки, зависящие от действия внутреннего давления.
Напряжения σ1, σ2, σF1, τ от действия внутреннего давления, сжимающей нагрузки и крутящего момента вычисляются по закону Гука с использованием экспериментально установленных относительных деформаций.