3.3.30 Напряжения в толстостенном резервуаре с внутренним давлением при одновременном продольном, поперечном изгибах и кручении
- Информация о материале
- Родительская категория: Раздел 3 ТЕОРЕТИЧЕСКОЕ ОБОСНОВАНИЕ, ИССЛЕДОВАНИЕ СРЕДСТВ ДЛЯ УГЛУБЛЕННОГО ЭКСПЕРИМЕНТАЛЬНОГО ИЗУЧЕНИЯ СОПРОТИВЛЕНИЯ МАТЕРИАЛОВ ТЕНЗОМЕТРИЧЕСКИМ МЕТОДОМ В УЧЕБНОМ ПРОЦЕССЕ В КОНТЕКСТЕКОМПЕТЕНТНОСТНОГО ПОДХОДА В ОБУЧЕНИИ
- Категория: 3.3 Исследование деформаций и напряжений в сложно нагруженных тонкостенных и толстостенных резервуарах тензометрическим методом
- Опубликовано: 26.10.2016 11:32
- Просмотров: 470
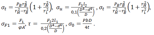
При нагружении толстостенного резервуара (рисунок 3.97) с внутренним давлением и внешней сжимающей, изгибающей и скручивающей его силами окружное σt, радиальное σr, осевое σ0 напряжения, возникающие в точке стенки от действия внутреннего давления, а также напряжения σF1, σи, τ, зависящие от сжимающий силы, изгибающего и скручивающего моментов, теоретически вычисляются по известным формулам:

Напряжения σF1 и σи, обусловленные сжимающей силой и изгибающим моментом, при нагружении толстостенного резервуара, как показано на рисунке 3.97, имеют одинаковый знак.
Определение величин относительных деформаций в точке при совокупном действии на толстостенный резервуар внешних силовых факторов производится по изложенным в предыдущих работах методикам. При этом, пользуясь принципом независимости действия сил, сначала измеряются тензометрическими датчиками окружная, радиальная и осевая деформации в точке от действия на резервуар только внутреннего давления.
После этого резервуар нагружается единственной сжимающей силой F1. Величина относительной деформации от этой силы находится тензометрическим датчиком РД3.
При Рb = 0, F1 = 0 и F2 = 0 резервуар нагружается силой F3, его изгибающей. Относительная деформация в точке от данного силового фактора измеряется также тензометрическим датчиком РД3.

Рисунок 3.101 Окружное σt , осевое σo и радиальное στ напряжение в точке стенки толстостенного резервуара в зависимости от действия внутреннего давления Рв ( σTt, σЭt; σTо, σЭо и σTτ, σЭτ - соответственно теоретические и экспериментальные напряжения)

Рисунок 3.102 Напряжение сжатия σc в зависимости от величины приложенной силы F (σTс, σЭс - соответственно теоретическое и экспериментальное напряжение)
Потом при Pb = 0, F1 = 0, F3 = 0 резервуар нагружается силой F2 его скручивающей.
Относительная деформация в точке, вызванная крутящим моментом, фиксируется тензометрическим датчиком РД4. Относительный сдвиг определяется как удвоенное значение относительной деформации.
Напряжения σt, σr, σ0, σF1 и σи τ с учетом экспериментально установленных относительных деформаций вычисляются по закону Гука.
На рисунках 3.98 и 3.99 показаны зависимости напряжений в точках стенки толстостенного резервуара от действия внутреннего давления продукта, сжимающей силы, крутящего момента (Приложение 3.29).