3.3.31 Прочность толстостенного резервуара с внутренним давлением при внецентренном сжатии
- Информация о материале
- Родительская категория: Раздел 3 ТЕОРЕТИЧЕСКОЕ ОБОСНОВАНИЕ, ИССЛЕДОВАНИЕ СРЕДСТВ ДЛЯ УГЛУБЛЕННОГО ЭКСПЕРИМЕНТАЛЬНОГО ИЗУЧЕНИЯ СОПРОТИВЛЕНИЯ МАТЕРИАЛОВ ТЕНЗОМЕТРИЧЕСКИМ МЕТОДОМ В УЧЕБНОМ ПРОЦЕССЕ В КОНТЕКСТЕКОМПЕТЕНТНОСТНОГО ПОДХОДА В ОБУЧЕНИИ
- Категория: 3.3 Исследование деформаций и напряжений в сложно нагруженных тонкостенных и толстостенных резервуарах тензометрическим методом
- Опубликовано: 26.10.2016 10:27
- Просмотров: 417
Рисунок 3.100 Толстостенный резервуар с внутренним давлением, испытывающий внецентренное сжатие
При внецентренном действии сжимающей силы F (рисунок 3.100) с координатами УF и ZF точки приложения на толстостенный резервуар прямоугольного поперечного сечения напряжения σD в точке D с координатами Y и Z , лежащей в первом квадранте, определяются по формуле [6]:

где A - площадь поперечного сечения резервуара;
Jy и Jz -осевые моменты инерции сечения при изгибе.
Здесь продольная сила N равна по величине внешней силе F. Площадь поперечного сечения прямоугольного толстостенного резервуара равна
А = ab — a1b1.
Где а, b, a1, b1 - размеры поперечного сечения по наружной и внутренней стенке резервуара.
Момент инерции сечения относительно оси У вычисляется по формуле

а момент инерции относительно оси Z - по формуле

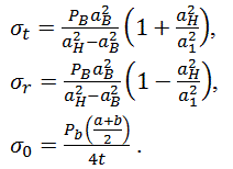
Размеры поперечного сечения толстостенного резервуара а и b отличаются друг от друга незначительно. Поэтому для теоретического определения окружного σt, радиального σr и осевого σ0 напряжений воспользуемся формулами, принципиально не отличающимися от формул применительно для толстостенного цилиндрического резервуара [57]:

Здесь

В реальных условиях напряжения σt стремятся разрушить резервуар в продольном сечении, напряжения σ0 – в поперечном сечении.
В рассматриваемом случае напряжения σD и σ0 в точке имеют разные знаки. Элемент, выделенный со стенки резервуара, находится в условиях объемного напряженного состояния. Эквивалентные напряжения при этом определяются по энергетической теории прочности согласно формуле

и сравниваются с допускаемым напряжением для материала стенки толстостенного резервуара.
Экспериментальная установка представляет собой испытанный на максимальное давление и герметичность толстостенный резервуар l прямоугольного поперечного сечения с размерами а и b, длиной l b толщиной стенки t. Резервуар имеет манометр 3 для измерения внутреннего давления во время опытов и кран 2 для выпуска из компрессора воздуха и для его выпуска [57].Во время экспериментов компрессором внутри резервуара создается соответствующее давление РB. Сжимающее внецентренное усилие прилагается прессом.
На грани толстостенного резервуара в соответствующей точке, координаты которой известны, для измерений относительных деформаций ɛ5 и ɛ4 от изгибающих моментов Му и Mz во взаимно-перпендикулярных площадках параллельно оси симметрии наклеены рабочие тензометрические датчики РД5 и РД4. Изгибающие моменты Му и Mz вызываются внецентренно-действующей силой F.
Для измерения окружной ɛ1 радиальной ɛ3 и осевой ɛ2 относительных деформаций в точке, обусловленных внутренним давлением Рb, во взаимно-перпендикулярных направлениях наклеены тензометрические датчики РД1, РД3 и РД2. Компенсационный тензометрический датчик КД наклеен на недеформируемой части установки. Тензометрические датчики соединены во внешние полумосты. Вывод от каждого рабочего тензометрического датчика включается к отдельному измерительному каналу измерительного прибора деформаций типа ЦТИ-1. При этом для размещения рабочего тензометрического датчика РД3, предназначенного измерять радиальную относительную деформацию в точке, в стенке резервуара I просверлено отверстие. К стенке приварена трубка 4 с диаметром, большим чем само отверстие. В нижней части трубка имеет отверстие диаметром 3 мм для того, чтобы вывести наружу выводы тензометрического датчика РД3.
Это технологическое отверстие после размещения тензометрического датчика заклеивается эпоксидным клеем. Сверху трубка герметично закрывается пробкой 5.
Измерение деформаций в точке стенки толстостенного резервуара осуществляется следующим образом. Вначале сила Рb отсутствует. Внутри резервуара компрессором создается давление Pt, и по показаниям тензометрических датчиков РД1, РД2 и РД3 определяются значения относительных деформаций ɛ1, ɛ3 и ɛ2.
Затем внутреннее давление снимается и резервуар прессом нагружается внецентренной силой F. Относительные деформации ɛ5 и ɛ4 в точке от действия внецентренной силы измеряются тензометрическими датчиками РД5 и РД4. В дальнейшем тонкостенный резервуар нагружается центральной сжимающей силой F. При этом относительная деформация ɛʹ2 элемента стенки резервуара определяется при помощи тензометрического датчика РД2.

Рисунок 3.102 Напряжение в точки Д стенки толстотенного резервуара в зависимости от величины внецентренно приложенной сжимающей силы F (σтд , σэд – соответственно теоретические и экспериментальные напряжения )
Напряжения σу, σz, σN, вызванные изгибающими моментами Му, Mz и продольной силой N , а также напряжения σt, σr, σ0, зависящие от внутреннего давления, вычисляются по закону Гука с учетом установленных экспериментально
относительных деформаций ɛ5, ɛ4, ɛʹ2 и ɛ1, ɛ2, ɛ3:
σу = Е ɛ5, σz= Е ɛ4, σN = Е ɛʹ2, σt = Е ɛ1, σr = Е ɛ3, σ0 = Е ɛ2,
где Е - модуль продольной упругости материала (сталь) стенки резервуара. Напряжения в точке D от внецентренно действующего усилия равны
σD=σN+ σу + σz.
Эквивалентные напряжения определяются по предложенной выше формуле.
На рисунке 3.101 представлены зависимости напряжений в точке D толстостенного резервуара при внецентренном сжатии (Приложение 3.30).