3.3.2 Определение напряжений в тонкостенном резервуаре при действии внутреннего давления и одновременном кручении
- Информация о материале
- Родительская категория: Раздел 3 ТЕОРЕТИЧЕСКОЕ ОБОСНОВАНИЕ, ИССЛЕДОВАНИЕ СРЕДСТВ ДЛЯ УГЛУБЛЕННОГО ЭКСПЕРИМЕНТАЛЬНОГО ИЗУЧЕНИЯ СОПРОТИВЛЕНИЯ МАТЕРИАЛОВ ТЕНЗОМЕТРИЧЕСКИМ МЕТОДОМ В УЧЕБНОМ ПРОЦЕССЕ В КОНТЕКСТЕКОМПЕТЕНТНОСТНОГО ПОДХОДА В ОБУЧЕНИИ
- Категория: 3.3 Исследование деформаций и напряжений в сложно нагруженных тонкостенных и толстостенных резервуарах тензометрическим методом
- Опубликовано: 02.11.2016 09:18
- Просмотров: 380
При действии внутреннего давления q элемент стенки тонкостенного резервуара с диаметром D и толщиной t находится в условиях плоского напряженного состояния.
При этом напряжение в площадке элемента, параллельной к образующей цилиндрического резервуара, определяете по формуле.
Напряжение σ2 в сечении, перпендикулярном образующей, равно σ2=qD/4t.
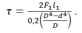
При действии на резервуар внешнего скручивающего момента, обусловленного парой сил F1 с плечом 2l1 в рассматриваемой точке стенки цилиндра возникает касательное напряжение τ от крутящего момента Т , равного по величине
T=2F1l1.
Окончательно величина касательного напряжения вычисляется по формуле:

Опыты проводятся на экспериментальной установке. При действии внутреннего давления q(F1=0) тензометрический датчик РД1 измеряет относительную деформацию ɛ1, тензометрический датчик РД2 - относительную деформацию ɛ2
Напряжения σ1 и σ2 определяются по формулам
σ1=Eɛ1 и σ2=Eɛ2 ,
где Е - модуль продольной упругости материала стенки резервуара.
Для измерения наибольшей относительной деформации ɛ3 , вызванной крутящим моментом, служит рабочий тензометрический датчик РД3. При этом q=0. Действует только сила F1 .
Относительный сдвиг γ в точке определяется по формуле
γ =2Е3.
Касательные напряжения находятся по закону Гука при кручении