3.3.24. Напряжения в тонкостенном резервуаре при продольном, поперечном изгибах, кручении и одновременном действии внутреннего давления
- Информация о материале
- Родительская категория: Раздел 3 ТЕОРЕТИЧЕСКОЕ ОБОСНОВАНИЕ, ИССЛЕДОВАНИЕ СРЕДСТВ ДЛЯ УГЛУБЛЕННОГО ЭКСПЕРИМЕНТАЛЬНОГО ИЗУЧЕНИЯ СОПРОТИВЛЕНИЯ МАТЕРИАЛОВ ТЕНЗОМЕТРИЧЕСКИМ МЕТОДОМ В УЧЕБНОМ ПРОЦЕССЕ В КОНТЕКСТЕКОМПЕТЕНТНОСТНОГО ПОДХОДА В ОБУЧЕНИИ
- Категория: 3.3 Исследование деформаций и напряжений в сложно нагруженных тонкостенных и толстостенных резервуарах тензометрическим методом
- Опубликовано: 27.10.2016 11:41
- Просмотров: 425
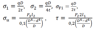
При одновременном воздействии на тонкостенный резервуар с внутренним давлением q (рисунок 3.94) сжимающей силы F1 , горизонтальной силы F3 и силы F2, скручивающей цилиндр, в рассматриваемой точке стенки возникают напряжения σ1, σ2, σF1,σи и τ, вызванные соответствующими внешними нагрузками.
Теоретически величины этих напряжений рассчитываются по известным формулам:

где обозначения величин такие же, как и в предыдущих работах.
Определение относительных деформаций ɛ1, ɛ2, ɛʹ2, ɛʹʹ2, и τ, возникающих в рассматриваемой точке стенки тонкостенного резервуара от действий внутреннего давления, сжимающей силы, изгибающего и крутящего моментов, производится по показаниям рабочих тензометрических датчиков РД1, РД2, РД3, пользуясь принципом независимости действия внешних усилий.
Напряжения, соответствующие экспериментально найденным относительным деформациям, вычисляются по закону Гука.