3.3.9 Напряжения при внецентренном сжатии, тонкостенного резервуара, испытывающего внутреннее давление
- Информация о материале
- Родительская категория: Раздел 3 ТЕОРЕТИЧЕСКОЕ ОБОСНОВАНИЕ, ИССЛЕДОВАНИЕ СРЕДСТВ ДЛЯ УГЛУБЛЕННОГО ЭКСПЕРИМЕНТАЛЬНОГО ИЗУЧЕНИЯ СОПРОТИВЛЕНИЯ МАТЕРИАЛОВ ТЕНЗОМЕТРИЧЕСКИМ МЕТОДОМ В УЧЕБНОМ ПРОЦЕССЕ В КОНТЕКСТЕКОМПЕТЕНТНОСТНОГО ПОДХОДА В ОБУЧЕНИИ
- Категория: 3.3 Исследование деформаций и напряжений в сложно нагруженных тонкостенных и толстостенных резервуарах тензометрическим методом
- Опубликовано: 02.11.2016 08:36
- Просмотров: 380
Тонкостенные резервуары, предназначенные для хранения и транспортировки жидких продуктов, могут находиться в условиях внецентренного сжатия.
При внецентренном действии сжимающей силы F1 с координатами YF и ZF точки приложения (рисунок 3.85) на тонкостенный резервуар прямоугольного поперечного сечения напряжения в точке D с координатами у и z лежащей в первом квадранте, определяются по формуле [2]:

где A - площадь поперечного сечения резервуара; JY и JZ - моменты инерции сечения при изгибе.
Здесь продольная сила N равна силе F1. Площадь поперечного сечения прямоугольного резервуара равна
А=ав-а1в1 ,
где а1 , в1 – размеры поперечного сечения по внутренней стенке резервуара.
Момент инерции сечения относительно оси Y вычисляется по формуле

а момент инерции сечения относительно оси Z – по формуле

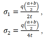
Размеры поперечного сечения тонкостенного резервуара друг от друга отличаются незначительно и составляют в среднем Q.25.,. 0,30 м. Поэтому напряжения σ1 и σ2 вызванные внутренним давлением q на резервуар, определяем по формулам, примененным для тонкостенного цилиндрического резервуара [57], подставляя вместо среднего диаметра средний размер поперечного сечения, т.е.

где t - толщина стенки резервуара.
Напряжения σD и σ2 в рассматриваемой точке имеют разные знаки. В данном случае элемент, выделенный со стенки резервуара, находится в условиях плоского напряженного состояния.
Эквивалентные напряжения при этом определяются по энергетической теории прочности


Рисунок 3.85 Схема размещения тензометрических датчиков при внецентренном сжатии тонкостенного резервуара с внутренним давлением
Опытная установка представляет собой испытанный на максимальное давление и герметичность тонкостенный резервуар 2 прямоугольного поперечного сечения с размерами а и b, длиной 1 и толщиной стенки t. Резервуар имеет манометр 4 для измерения внутреннего давления и кран 3 для впуска из компрессора воздуха и выпуска.
Во время экспериментов компрессором внутри резервуара создается давление q порядка 0.6... 1 МПа. Сжимающее внецентренное усилие порядка 1... 1,5 кН прилагается прессом.
На грани тонкостенного резервуара в соответствующей точке, координаты которой известны, для измерений относительных деформаций ɛ4 и ɛ3 от изгибающих моментов MY и MZ во взаимно перпендикулярных площадках параллельно оси симметрии наклеены рабочие тензометрические датчики РД4 и РД3.
Для измерений относительных деформаций ɛ1 и ɛ2 вызванных внутренним давлением q , во взаимно перпендикулярных направлениях наклеены тензометрические датчики РД1 и РД2. Компенсационный тензометрический датчик КД наклеен на недеформируемой части установки. Тензометрические датчики соединены во внешние полумосты. Каждый рабочий тензометрический датчик включается к измерительному каналу прибора ЦТИ-1.
Измерение деформаций в точке осуществляется следующим образом.
Вначале сила F1 отсутствует. Внутри резервуара компрессором создается давление q и по показаниям тензометрических датчиков РД1 и РД2 определяются значения относительных деформаций ɛ1 и ɛ2.
Затем внутреннее давление снимается и резервуар прессом нагружается внецентренной силой F1 . Относительные деформации ɛ4 и ɛ3 в точке от действия внецентренной силы измеряются тензометрическими датчиками РД4 и РД3 В дальнейшем тонкостенный резервуар нагружается центральной сжимающей силой F1 . При этом относительная деформация ɛʹ2 элемента стенки резервуара определяется при помощи тензометрического датчика РД2.
Напряжения σY, σZ, σN, вызванные изгибающими моментами MY, Mz и продольной силой N , а также напряжения σ1 и σ2, зависящие от внутреннего давления, вычисляются по закону Гука с учетом установленных экспериментально относительных деформаций σ4, ɛ3, ɛʹ2 и ɛ1, ɛ2:
σY=Eɛ4; σZ=Eɛ4; σN=Eɛʹ2; σ1=Eɛ1; σ2=Eɛ2.
Напряжение в точке D от внецентренно действующей силы равно
σD= σN+ σY +σZ.
Эквивалентные напряжения определяются по формуле (3.3).
Напряжения при внецентренном сжатии тонкостенного резервуара, испытывающего внутреннее давление и прямой изгиб
При внецентренном действии сжимающей силы F1 с координатами УF и ZF точки приложения (рисунок 3.85) на тонкостенный резервуар прямоугольного поперечного сечения напряжения в точке D с координатами Y и Z , лежащей в первом квадранте, определяются по формуле

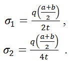
Напряжения σ1 и σ2, обусловленные действием на резервуар внутреннего давления, теоретически вычисляются по известным формулам:

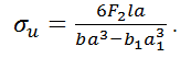
Напряжение σи в точке D, вызванное изгибающим моментом Мu, равно

Изгибающий момент находится по формуле
Mu=F2l,
где F2_ внешняя сила; l - плечо действия силы F2.
Момент инерции WY сечения относительно оси Y при изгибе равен

Подставляя значения Мu и WY в соответствующую формулу,

При нагружении тонкостенного резервуара (рисунок 3.85) нормальные напряжения σY и σN в точке D , вызванные изгибающими моментами от сил F1 и F2 имеют одинаковый знак (напряжения сжимающие).
Эквивалентные напряжения определяются по энергетической теории прочности

Методика определения напряжений σN от продольной силы N, косого изгиба σY σZ, вызванных внецентренной силой, а также напряжений σ1 и σ2, связанных действием внутреннего давления на тонкостенный резервуар, изложена ранее.
Внешняя сила F2 , изгибающая резервуар, действует на стальной канат 5, перекинутый через блок 6, вращающийся на кронштейне 7. Канат в точке К закреплен к резервуару. На участке КМ канат должен быть горизонтальным. В опытах к резервуару прилагается сила F2 порядка 0,3...0,5 кН при q=0 , Fi=0.
Относительная деформация ɛ3' элемента стенки резервуара от действия изгибающего момента измеряется тензометрическим датчиком РД3. Напряжение зависящее от изгибающего момента, определяется по закону Гука.

Рисунок 3.86 Напряжение от сжатия σс и от косого изгиба σy и σz в зависимости от величины внецентренно приложенной силы F (σтс , σтy , σтz -соответственно теоретические напряжения)
Эквивалентные напряжения с учетом экспериментально определенных напряжений σY, σN, σZ, σи, σ1, σ2 вычисляются по представленной формуле.
На рисунке 3.86 представлены теоретические и экспериментальные зависимости напряжений в точке стенки резервуара от величины внецентренно действующей силы (Приложение 3.26).