3.3.12 Определение напряжений в толстостенном резервуаре при действии внутреннего давления и одновременном кручении
- Информация о материале
- Родительская категория: Раздел 3 ТЕОРЕТИЧЕСКОЕ ОБОСНОВАНИЕ, ИССЛЕДОВАНИЕ СРЕДСТВ ДЛЯ УГЛУБЛЕННОГО ЭКСПЕРИМЕНТАЛЬНОГО ИЗУЧЕНИЯ СОПРОТИВЛЕНИЯ МАТЕРИАЛОВ ТЕНЗОМЕТРИЧЕСКИМ МЕТОДОМ В УЧЕБНОМ ПРОЦЕССЕ В КОНТЕКСТЕКОМПЕТЕНТНОСТНОГО ПОДХОДА В ОБУЧЕНИИ
- Категория: 3.3 Исследование деформаций и напряжений в сложно нагруженных тонкостенных и толстостенных резервуарах тензометрическим методом
- Опубликовано: 01.11.2016 11:20
- Просмотров: 517
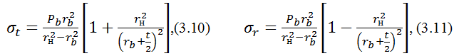
На грани элементарного кубика, выделенного из стенки толстостенного резервуара (рисунок 3.89) с внутренним давлением Рb, действуют окружное σt, радиальное σr и осевое σo напряжения.
По величине окружное и радиальное напряжения определяются по формулам [148]:

На экспериментальной установке рабочий тензометрический датчик РД2 расположен в середине толщины стенки резервуара. Поэтому в теоретических расчетах расстояние от оси симметрии до точки стенки резервуара, где изыскиваются напряжения, принимается равным среднему радиусу цилиндра.
Тогда расчетные формулы имеют вид:

где t - толщина стенки резервуара.
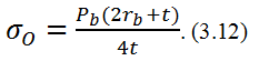
Осевое напряжение σo вычисляется по формуле

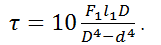
Касательные напряжения в рассматриваемой точке от крутящего момента равны
τ = Т/Wt,
где Т - крутящий момент; Wt - момент сопротивления при кручении.
Крутящий момент Т создается силой F1,
T = F12l1 ,
где 2l1 - плечо силы F1 .
Окончательно формула для определения касательного напряжения при кручении имеет вид

Опыты проводятся на экспериментальной установке (рисунок 3.90)
При действии на резервуар только внутреннего давления тензометрический датчик РД1 измеряет осевую относительную деформацию, тензометрические датчики РД2 и РД3 - соответственно радиальную ɛ2 и окружную ɛ3 относительные деформации.
Напряжения σo, σr и σt, вызванные этими деформациями, определяются
σо = E ɛ1 ; σr = E ɛ1 и σо = E ɛ1 ,
по закону Гука:
где Е - модуль продольной упругости материала стенки резервуара.
Измерение наибольшей относительной деформации ɛ4 в точке, обусловленной крутящим моментом, производится тензометрическим датчиком РД4.
Относительный сдвиг равен удвоенному значению относительной деформации.
Касательные напряжения находятся по закону Гука