3.3.27 Напряжения в толстостенном резервуаре при продольном изгибе и одновременном действии внутреннего давления
- Информация о материале
- Родительская категория: Раздел 3 ТЕОРЕТИЧЕСКОЕ ОБОСНОВАНИЕ, ИССЛЕДОВАНИЕ СРЕДСТВ ДЛЯ УГЛУБЛЕННОГО ЭКСПЕРИМЕНТАЛЬНОГО ИЗУЧЕНИЯ СОПРОТИВЛЕНИЯ МАТЕРИАЛОВ ТЕНЗОМЕТРИЧЕСКИМ МЕТОДОМ В УЧЕБНОМ ПРОЦЕССЕ В КОНТЕКСТЕКОМПЕТЕНТНОСТНОГО ПОДХОДА В ОБУЧЕНИИ
- Категория: 3.3 Исследование деформаций и напряжений в сложно нагруженных тонкостенных и толстостенных резервуарах тензометрическим методом
- Опубликовано: 27.10.2016 10:49
- Просмотров: 385
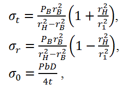
В толстостенном резервуаре (рисунок 3.97) при действии внутреннего давления Рв в точке его стенки возникают окружное σt, радиальное σr и осевое σo напряжения.
Величины этих напряжений вычисляются по известным формулам[148]:

где обозначения входящих в эти выражения величин такие же, как и в работе 3.1.25.
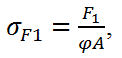
Напряжения σF1, обусловленные сжимающей силой F1, равны

где А - площадь поперечного сечения резервуара.
В данной формуле коэффициент φ уменьшения основного расчетного сопротивления при продольном изгибе находится аналогично, как в работе 3.3.20.
Нормальные напряжения σ0 и σF1 имеют разные знаки.
На опытах окружное ɛ1, радиальное ɛ2, осевое ɛ3 относительные деформации в точке от действия внутреннего давления измеряются тензометрическими датчиками РД1, РД2 и РД3 при условии, когда сила F1 равна нулю.
В дальнейшем внутреннее давление снимается и резервуар нагружается прессом сжимающей силой порядка 4...5 кН. При этом относительная деформация определяется тензометрическим датчиком РД3.
Напряжения σt, σr, σ0, σF1, соответствующие относительным деформациям ɛ1, ɛ2, ɛ3, ɛʹ3 вычисляются по закону Гука.