3.2.3 Монтажные напряжения в элементах конструкций
- Информация о материале
- Родительская категория: Раздел 3 ТЕОРЕТИЧЕСКОЕ ОБОСНОВАНИЕ, ИССЛЕДОВАНИЕ СРЕДСТВ ДЛЯ УГЛУБЛЕННОГО ЭКСПЕРИМЕНТАЛЬНОГО ИЗУЧЕНИЯ СОПРОТИВЛЕНИЯ МАТЕРИАЛОВ ТЕНЗОМЕТРИЧЕСКИМ МЕТОДОМ В УЧЕБНОМ ПРОЦЕССЕ В КОНТЕКСТЕКОМПЕТЕНТНОСТНОГО ПОДХОДА В ОБУЧЕНИИ
- Категория: 3.2 Исследование деформаций и напряжений в нагруженных элементах статически неопределимых конструкций
- Опубликовано: 03.11.2016 07:08
- Просмотров: 711
В конструкциях появляются также напряжения при их сборке, обусловленные отклонениями длины какого-либо стержня от величины, установленной технической документацией.
Неточность в изготовлении одного из элементов статически неопределимой системы вызывает некоторые начальные (монтажные) напряжения в стержнях при сборке. С другой стороны, величина усилий и напряжений в стержнях зависят от величины зазора и, следовательно, усилия и напряжения можно искусственно регулировать. Можно, например, выбрать величину зазора такой, чтобы напряжения в стержнях были снижены до желаемой величины или чтобы они были во всех стержнях одинаковыми.
Идея исскуственного регулирования усилий в настоящее время получила широкое применение в различных конструкциях (предварительно напряженный железобетон).
Рассмотрим конструкцию (рисунок 3.73), состоящую из основания I и балки 5, соединенной с ним при помощи трех стальных стержней 2, 3, 4 длиной 1 и одинаковыми поперечными сечениями А. Средний стержень 3 изготовлен на величину ∆ короче, чем остальные.
Очевидно, для соединения всех трех стержней с балкой необходимо при сборке средний стержень растянуть, а крайние соответственно сжать. При этом в крайних стержнях возникнут сжимающие усилия N1, N2 и напряжения σ1, σ2, a в среднем - растягивающее усилие N3 и напряжение σ3.
Уравнение равновесия для данной системы имеет вид:
N3=2N1 .
Система один раз статически неопределима.

Рисунок 3.73. Схема установки для изучения монтажных напряжений
Исходя из деформированного состояния конструкции, получаем дополнительное уравнение деформаций
│∆l1│+ │∆l3│=∆.
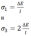
Напряжения σ1 и σ3 в поперечных сечениях соответственно первого и третьего стержней равны

Зная конкретные значения зазора ∆, модуля продольной упругости стали и конструктивной длины стержней, по приведенным формулам определяется величина монтажных напряжений, вызванная сборкой заданной конструкции.
Для экспериментального определения относительных деформаций ɛ1, ɛ2 крайних и ɛ3 среднего стержней (рисунок 3.74, 3.74а), вызванных их сборкой, параллельно оси симметрии элементов конструкции наклеены соответственно рабочие тензометрические датчики РД1 РД2 и РД3 [30]. На недеформируемой части установки наклеен компенсационный тензометрический датчик КД. Выводы внешнего полумоста включаются к измерителю деформации. Каждый рабочий тензометрический датчик соединяется к одному измерительному каналу прибора. Относительная деформация стержня определяется после затяжки гаек крепления плиты до упора. При этом имеющийся зазор в среднем стержне устраняется.

Рисунок 3.74 Тензометрическая установка для изучения монтажных напряжений

Рисунок 3.74а Установка для изучения монтажных напряжений

Рисунок 3.75 Монтажные напряжения в элементах конструкций в зависимости от величины зазора (неточности изготовления стержня): σ1т и σ1э, σ3т и σ3э - соответственно теоретические и экспериментальные напряжения в крайнем и среднем стержне
Длины крайних стержней равны между собой, поэтому одинаковыми будут деформации и напряжения, в них возникающие.
Монтажные напряжения σ1 и σ3 в первом и третьем стержнях, соответствующие экспериментально найденным относительным деформациям ɛ1 и ɛ2, определяются по закону Гука
σ1=Eɛ1 , σ3=Eɛ3
Данные проведенных опытов представлены в приложении 3.21.
На рисунке 3.75 показаны графические зависимости напряжений в стержнях от величины зазора.