3.2.6 Напряжения в статически неопределимых балках
- Информация о материале
- Родительская категория: Раздел 3 ТЕОРЕТИЧЕСКОЕ ОБОСНОВАНИЕ, ИССЛЕДОВАНИЕ СРЕДСТВ ДЛЯ УГЛУБЛЕННОГО ЭКСПЕРИМЕНТАЛЬНОГО ИЗУЧЕНИЯ СОПРОТИВЛЕНИЯ МАТЕРИАЛОВ ТЕНЗОМЕТРИЧЕСКИМ МЕТОДОМ В УЧЕБНОМ ПРОЦЕССЕ В КОНТЕКСТЕКОМПЕТЕНТНОСТНОГО ПОДХОДА В ОБУЧЕНИИ
- Категория: 3.2 Исследование деформаций и напряжений в нагруженных элементах статически неопределимых конструкций
- Опубликовано: 02.11.2016 12:02
- Просмотров: 642
В строительстве часто встречаются статически неопределимые балки. Примером таких конструкций являются железобетонные межэтажные плиты перекрытия, защемленные с обеих сторон, и плиты, защемленные с одной стороны, а с другой стороны имеющие шарнирно-подвижную опору. Большой практический интерес для оценки прочности этих элементов конструкций представляют результаты теоретического и экспериментального определения напряжений в наиболее опасных точках.
I Экспериментальное определение напряжений в балке, защемленной с обеих сторон
Рассмотрим статически неопределимую балку (рисунок 3.79), нагруженную вертикальной силой F. Сила приложена в точке С и находится от опор на расстоянии а и b.
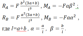
Величина опорных реакций RA и RB и опорных моментов МА и МB соответственно равна [ 150] :

Величина изгибающего момента в сечении, где приложена сила F, равна

Напряжение в опасном сечении (сечение, где приложена сила F) определяется по формуле
где k и h – соответственно ширина и высота поперечного сечения балки.

Рисунок 3.79 Балка, защемленная с обеих сторон
На наружной поверхности балки в точке, расположенной в непосредственной близости от опоры А и в опасном сечении, где приложена сила F, для измерения относительной деформации балки наклеены рабочие тензометрические датчики РД1 и РД2 [42]. Компенсационный тензометрический датчик КД наклеен на недеформируемом отдельном элементе из того же материала, как сама балка. Рабочие и компенсационный датчики образуют внешние полумосты, выводы которых соответствующим образом включаются к измерителю деформации ЦТИ-1.
Напряжения в этих же точках вычисляются по закону Гука как произведение экспериментально найденных относительных деформаций на модуль упругости материала балки.
Результаты опытов представлены в приложении 3.23.
2 Напряжения в балке с защемленной и шарнирно-подвижной опорами
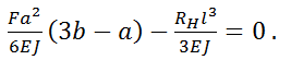
Рассмотрим простейшую статически неопределимую балку прямоугольного поперечного сечения. Одна сторона балки защемлена, а другая сторона имеет шарнирно-подвижную опору (рисунок 3.80). Длина балки равна 1. Сила F действует на балку симметрично. Точка приложения силы находится на расстоянии а и с от опор. Для теоретического решения задачи составляем уравнения равновесия:
∑Y=RK+RH-F= 0 , ∑mК = - МК + Fa - RHl .
Имеем два уравнения с тремя неизвестными - балка один раз статически неопределима. Одна из неизвестных - RK, RH или Мк - лишняя. За лишнюю неизвестную примем опорную реакцию RH - Отбросив правую опору и заменив ее неизвестной силой F, получаем основную систему. В результате имеем статически определимую балку, нагруженную заданной силой F и неизвестной опорной реакцией RH. Дополнительное уравнение, выражающее условий совместной работы балки и опоры, будет
YH = YHF + YHH = 0 ,
т.е. суммарный прогиб конца консоли от действия заданной нагрузки и от лишней неизвестной равен нулю, так как в заданной балке на опоре Н прогиб отсутствует.
Прогибы YHF и Ннн определяются известным способом по формулам

и

Тогда условие совместности деформаций балки получает вид:

Отсюда искомая опорная реакция RH равна

Напряжения σн в сечении опоры равны

где А - площадь поперечного сечения опорного стержня.
Величина момента в защемлении Мк определяется из уравнения равновесия.
Напряжения σк в сечении защемления балки равны

где W - момент сопротивления сечения балки.
Здесь b и h соответственно размеры поперечного сечения балки.

Рисунок 3.80 Статически неопределимая двухопорная балка
На наружной поверхности балки 2 [51] в непосредственной близости от защемления 3 параллельно оси для измерения относительных деформаций при изгибе наклеен рабочий тензометрический датчик РД1. Для измерения относительной деформации опорного стержня, вызванной реакцией RH, служит рабочий тензометрический датчик РД2. Компенсационный тензометрический датчик КД наклеен на отдельной стальной пластинке.
Рабочий и компенсационный тензометрические датчики образуют внешние полумосты, выводы которых соответствующим образом включаются к измерителю деформаций ЦТИ-1.
Искомые напряжения в конкретных точках балки и опорного стержня определяются с учетом экспериментально найденных относительных деформаций по сигналам тензометрических датчиков РД1 и РД2, а также модуля продольной упругости соответствующих материалов элементов конструкций.
Результаты экспериментальной работы приведены в приложении 3.24.